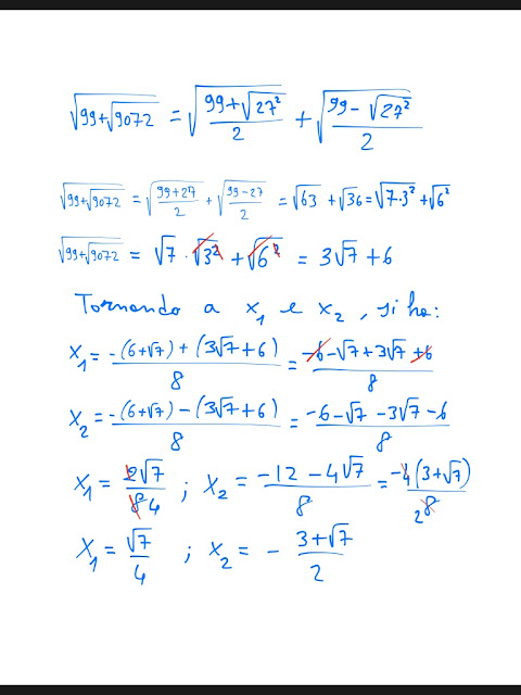
Dopo qualche breve richiamo di Teoria, vengono svolti 2 esercizi.
Buono studio! ;-)
venerdì 4 marzo 2016
Equazioni di Secondo Grado(Esercizi Svolti e Teoria in Breve)
Tags, etichette:
equazione monomia,
equazione pura,
equazione spuria,
equazioni di secondo grado,
equazioni di secondo grado e problemi,
esercizi svolti sulle equazioni di secondo grado,
Giuseppe Burgio
Iscriviti a:
Commenti sul post (Atom)
Ti potrebbero interessare anche questi post:
-
Ultimo aggiornamento: 28 11 2019 Questa esercitazione è consultabile gratuitamente online. Se vuoi anche scaricarla in formato P...
-
Ultimo aggiornamento: 02/01/2022 Che cos' è una funzione? Come si trova il dominio di una funzione? Come si classificano le funzioni? Ci...
-
ISCRIVITI alla nostra Newsletter per ricevere gli aggiornamenti e i contenuti speciali pensati per gli iscritti. In questo post svolg...
-
In questo post, vedremo come si disegnano(senza utilizzare il computer❗️🤓🙄😀) delle funzioni, leggermente complesse, partendo dai grafic...
-
In questa esercitazione, vedremo lo svolgimento di più di 8 esercizi di matematica per le Superiori , in particolare esercizi sulle ...
-
Ultimo Aggiornamento: 27/08/2019 Esercizio 1 Risolvi e discuti questo sistema letterale intero, in cui x ed y sono le incognite e a è ...
-
Qui trovi le formule per calcolare: 1) il tempo di volo di un proiettile lanciato orizzontalmente ; 2) la gittata di un proiettile spara...
-
Quelle che trovate qui sotto sono due possibili mappe concettual i sui vettori . La seconda, in particolare, riguarda le component...
-
Ho preparato un video, lo trovi qui sotto, in cui svolgo e commento 4 equazioni goniometriche lineari in seno e coseno, sfruttando il meto...
-
Ultimo aggiornamento: 20 agosto 2019 In questa esercitazione, prima di affrontare un sistema di equazioni fratte, voglio farti vedere come...













Nessun commento:
Posta un commento
Fammi sapere nei commenti i tuoi dubbi, le tue osservazioni, domande o semplicemente quello che pensi su ciò che hai letto.
Non si accettano commenti anonimi ;-)